ideology No Not sure Yes Total
Conservative 151 35 186 372
Liberal 52 9 114 175
Moderate 161 28 174 363
Total 364 72 474 910
IMS, Ch. 18
Smith College
Apr 10, 2026
| Method | null dist. | sampling dist. |
|---|---|---|
| 1: probability | ? | ? |
| 2: simulation | randomization test (centered at \(0\)) | two bootstraps (centered at \(\hat{p}_1 - \hat{p}_2\)) |
| 3: normal approx. | \(N(0, SE_{pool})\) | \(N \left( \hat{p}_1 - \hat{p}_2, SE_{\hat{p}_1 - \hat{p}_2} \right)\) |
| Method | null dist. | sampling dist. |
|---|---|---|
| 1: probability | hypergeometric (Fisher’s exact test) | NA |
| 2: simulation | permutation test (starting at \(0\)) | NA |
| 3: \(\chi^2\) approx. | \(\chi^2 (k = d.f.)\) | NA |
“a genius who almost single-handedly created the foundations for modern statistical science”
“the single most important figure in 20th century statistics”
a racist, eugenicist, and Nazi sympathizer
renaming of COPSS Award
Statistical thinking and eugenicist thinking are, in fact, deeply intertwined, and many of the theoretical problems with methods like significance testing—first developed to identify racial differences—are remnants of their original purpose, to support eugenics.

stance independent of ideologystance not independent of ideologyIf \(H_0\) is true, then joint probabilities equal product of marginal probabilities
If \(A, B\) are independent, then \(\Pr(A \cap B) = \Pr(A) \cdot \Pr(B)\)
\[ X^2 = \sum_{i,j} \frac{(observed_{ij} - expected_{ij})^2}{expected_{ij}} \]
If \(H_0\) is true, then \(X^2\) would be 0
But also \(X^2 \geq 0\)
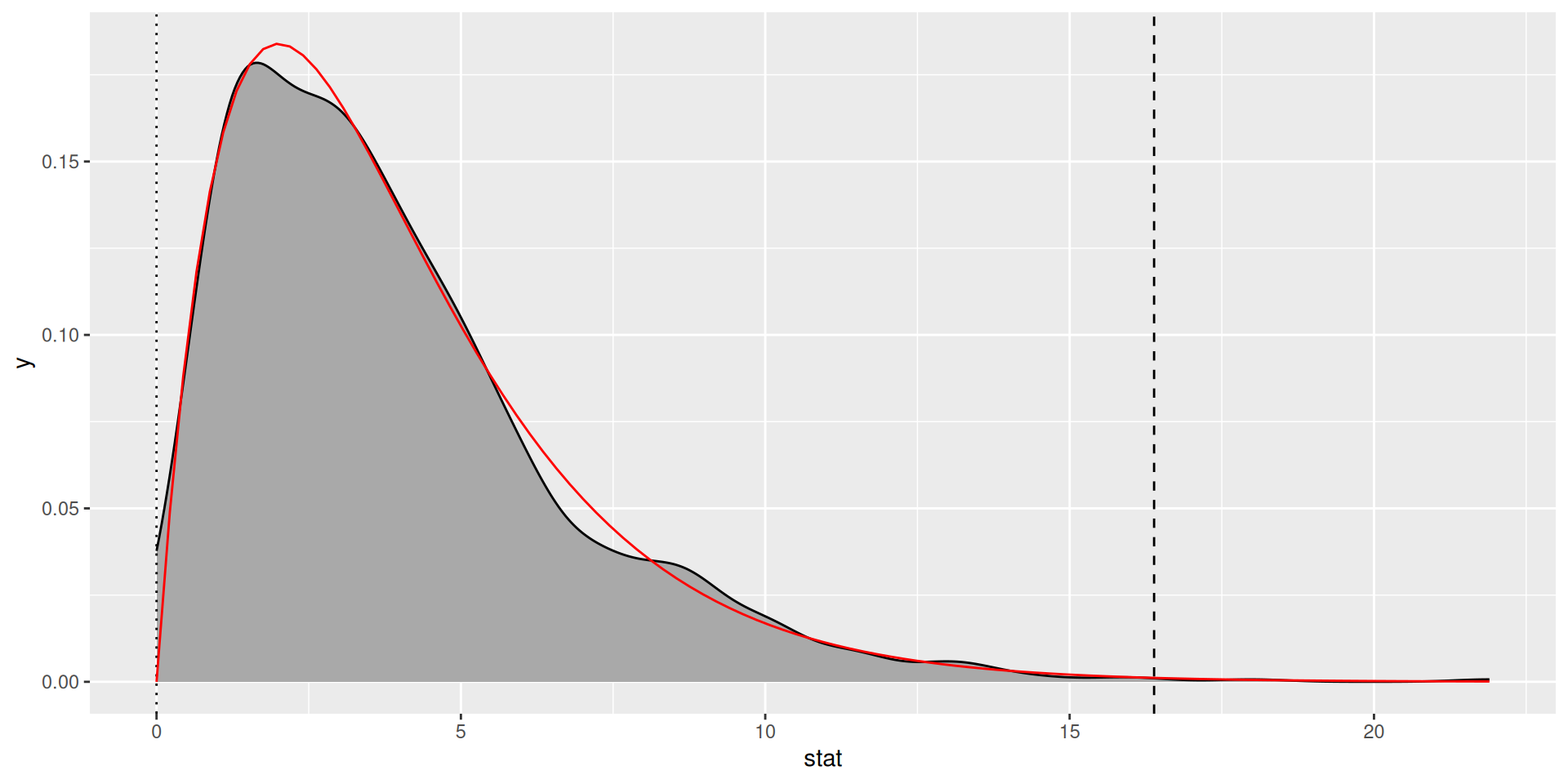
So what is the sampling distribution of \(X^2\)?
Statisticians have shown that \(X^2 \sim \chi^2(k)\), where
\(k\) is the number of degrees of freedom
\(k\) = (number or levels in response - 1) \(\cdot\) (number of levels in explanatory - 1)
In this case, \(k = (3-1) \cdot (3-1) = 4\)
# A tibble: 1 Ă— 1
p_value
<dbl>
1 0.002
